ГДЗ Фізика 10 клас В.Д. Сиротюк, В.І. Баштовий (2010) - Рівень стандарту |
← Повернутися до розділів |
Назад до 83 | 84 | Вперед до 85 |
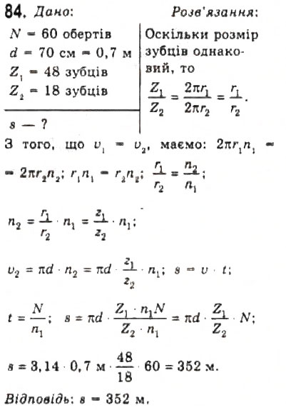
Розв'язок:

ГДЗ Фізика 10 клас В.Д. Сиротюк, В.І. Баштовий (2010) - Рівень стандарту |
← Повернутися до розділів |
Назад до 83 | 84 | Вперед до 85 |
Розв'язок: